PPC Performance Report: Turning Ad Spend Into Predictable Revenue
The experience of running paid ads can be similar to placing money in a machine and wishing it luck. However, it does not need to be a guessing game.
This guide will assist you in closing the gap between ad spend (cost) and revenue generated, and optimize high-intent audiences and campaigns. When you monitor the right data in Google Analytics 4 (GA4), you can make your PPC (Pay-Per-Click) work a consistent growth driver. The following are the precise metrics you must track to make that happen.
1. Revenue & ROI (The Bottom Line)
Before diving into the weeds, you need to know if your ads are actually making money. These metrics give you the big-picture view of your financial return.
Total Revenue [GA4]
The absolute total of what your business is bringing in. Watching this helps you confirm that as your ad spend goes up, your overall income is growing with it.
Revenue per Channel [GA4]
![Revenue per Channel [GA4]](https://kpi.me/wp-content/uploads/2026/03/1-2.jpg)
Specifically highlighting the Paid channels (Google Ads, etc.). This breaks down your income so you can clearly see exactly how much cash your paid advertising is responsible for.
Revenue: All Traffic vs Organic Traffic [GA4]
Use this to contrast paid performance against free channels. It helps you understand if you are too reliant on paid ads or if your SEO and ads are working well together.
Average Purchase Revenue [GA4]
![Average Purchase Revenue [GA4]](https://kpi.me/wp-content/uploads/2026/03/2-1.jpg)
Knowing the average order value from your ads helps you figure out exactly how much you can afford to pay for a single click or conversion while staying profitable.
2. Campaign & Source Performance
Not all campaigns are created equal. These metrics help you figure out exactly which ads and platforms are driving the best results so you can cut the losers and scale the winners.
Sessions by Session Google Ads Campaign Type [GA4]
![Sessions by Session Google Ads Campaign Type [GA4]](https://kpi.me/wp-content/uploads/2026/03/3-2.jpg)
(e.g., Search, Display, Shopping). This shows you which format brings in the most traffic. For example, you might find that Shopping ads bring in buyers, while Display ads just bring in window shoppers.
Session Sources [GA4]
Filtered to show only paid sources (google/cpc, bing/cpc, etc.). This helps you compare different advertising platforms head-to-head to see where your audience is most active.
Top Selling Sources (All Traffic) [GA4]
![Top Selling Sources (All Traffic) [GA4]](https://kpi.me/wp-content/uploads/2026/03/4-2.jpg)
To see which paid sources are driving the most product sales. Traffic is great, but sales are better; this tells you which platform actually gets people to pull out their credit cards.
3. Audience & Demographics (Who Converted)
To write better ads and get cheaper clicks, you need to know exactly who is buying. These metrics help you build a highly accurate profile of your best customers.
Sessions by Gender [GA4]
![Sessions by Age [GA4]](https://kpi.me/wp-content/uploads/2026/03/5-2.jpg)
Segment by Paid Traffic. This tells you who is clicking on your ads, allowing you to tailor your ad copy and imagery to the right audience.
Sessions by Age [GA4]
Segment by Paid Traffic. Knowing the age of your visitors helps you adjust your messaging. A campaign targeting 18-year-olds should sound very different from one targeting 60-year-olds.
Revenue per Gender (All Traffic) [GA4]
Specifically analyze paid traffic revenue by gender. Because clicks don’t always equal cash, this shows you which group is actually spending the most money.
Revenue per Age Group (All Traffic) [GA4]
![Revenue per Age Group (All Traffic) [GA4]](https://kpi.me/wp-content/uploads/2026/03/6-2.jpg)
Specifically analyze paid traffic revenue by age. This helps you allocate your budget safely, ensuring you bid higher on the age brackets that historically buy more.
4. Geographic Performance
Where your customers live can completely change how you run your campaigns. Localizing your ad spend prevents you from wasting money in areas that don’t convert.
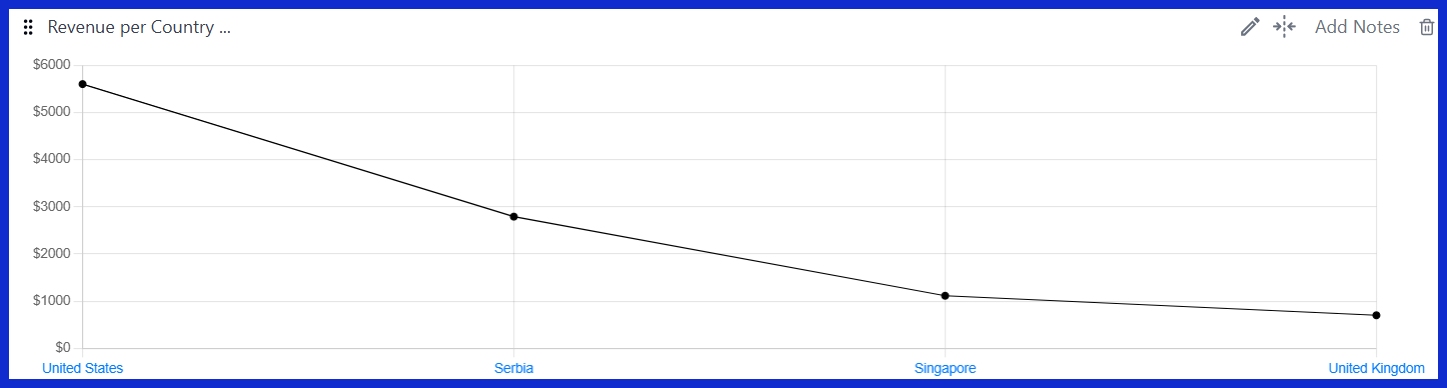
Revenue per Country (All Traffic) [GA4]
![Revenue per Country (All Traffic) [GA4]](https://kpi.me/wp-content/uploads/2026/03/7-2.jpg)
Filter by Paid channel to see top converting countries. If you sell internationally, this immediately highlights where your most profitable markets are located.
Revenue per City (All Traffic) [GA4]
![Revenue per City (All Traffic) [GA4]](https://kpi.me/wp-content/uploads/2026/03/8-2.jpg)
Filter by Paid channel for local PPC insights. This is incredibly useful for adjusting location bids, letting you spend more in high-performing cities and pull back in dead zones.
Users by Country [GA4]
Filter by Paid channel to see audience reach. This helps you see if your ads are being shown in the right places and if your targeting settings are working correctly.
5. Product & Transaction Analysis
Finally, you need to know exactly what people are buying when they click an ad. This helps you push the right products at the right time.
Ecommerce Purchases by Item Name [GA4]
![Ecommerce Purchases by Item Name [GA4]](https://kpi.me/wp-content/uploads/2026/03/9-2.jpg)
Filter by Paid channel to see which products are bought via ads. This tells you exactly which items in your inventory are your “hook” products that draw people in.
Top Selling Products (All Traffic) [GA4]
![Top Selling Products (All Traffic) [GA4]](https://kpi.me/wp-content/uploads/2026/03/10-2.jpg)
Filter by Paid channel. Knowing your bestsellers allows you to feature them more prominently in your ad creatives and landing pages.
Transactions per Channel (All Traffic) [GA4]
To show volume comparison. This looks at the sheer number of orders, helping you see if paid ads drive high volumes of smaller purchases or fewer, larger ones.
Transactions: All Traffic vs Organic Traffic [GA4]
![Transactions: All Traffic vs Organic Traffic [GA4]](https://kpi.me/wp-content/uploads/2026/03/11-2.jpg)
Contextual comparison. This gives you a final health check to see how much of your total sales volume relies heavily on your advertising budget.
Conclusion
Turning ad spend into predictable revenue isn’t magic—it’s just a matter of tracking the right numbers. By setting up a dashboard with these specific GA4 metrics, you take the emotion and guesswork out of your PPC strategy. You’ll know exactly who is clicking, where they are coming from, what they are buying, and most importantly, how much profit they are bringing in. Start tracking these widgets using KPI.me today, and take full control of your advertising budget.
